630v法拉电子金属化聚丙烯薄膜电容MMKP82系列C822J683J60

  • 批发价格: 1

    批发量:>1

产品详情

 
  
 




 
 


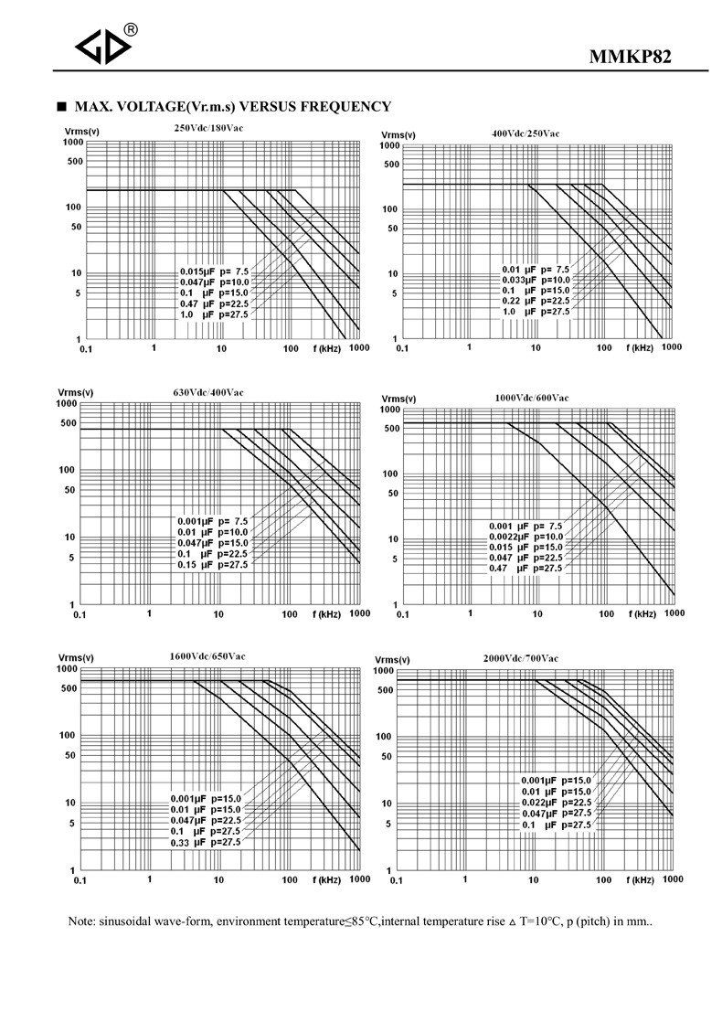
030109541142_0C82Specification

030109541142_0C82Specification

030109541142_0C82Specification

030109541142_0C82Specification

030109541142_0C82Specification

030109541142_0C82Specification

030109541142_0C82Specification

030109541142_0C82Specification

030109541142_0C82Specification

030109541142_0C82Specification

030109541142_0C82Specification

厦门法拉电子有限公司工厂一角1.jpg

法拉薄膜电容工艺介绍2.jpg

晋日电子仓库图3.jpgO1CN01tXVYoy1S6jLpgBXUE_!!9507



 
 
 
 
630v法拉电子金属化聚丙烯薄膜电容MMKP82系列C822J683J60,批发价,价格:1,厂家直销,630v法拉电子金属化聚丙烯薄膜电容MMKP82系列C822J683J60,免费拿样。